Last updated: 1 ส.ค. 2567 | 17427 จำนวนผู้เข้าชม |
PTG จับมือ กฟผ. เปิดสถานีชาร์จรถยนต์ไฟฟ้า EleX by EGAT PT ครบ 100 สถานี ล่าสุดเปิดที่สถานี PT สาขาบางปะกง 3 จังหวัดฉะเชิงเทรา


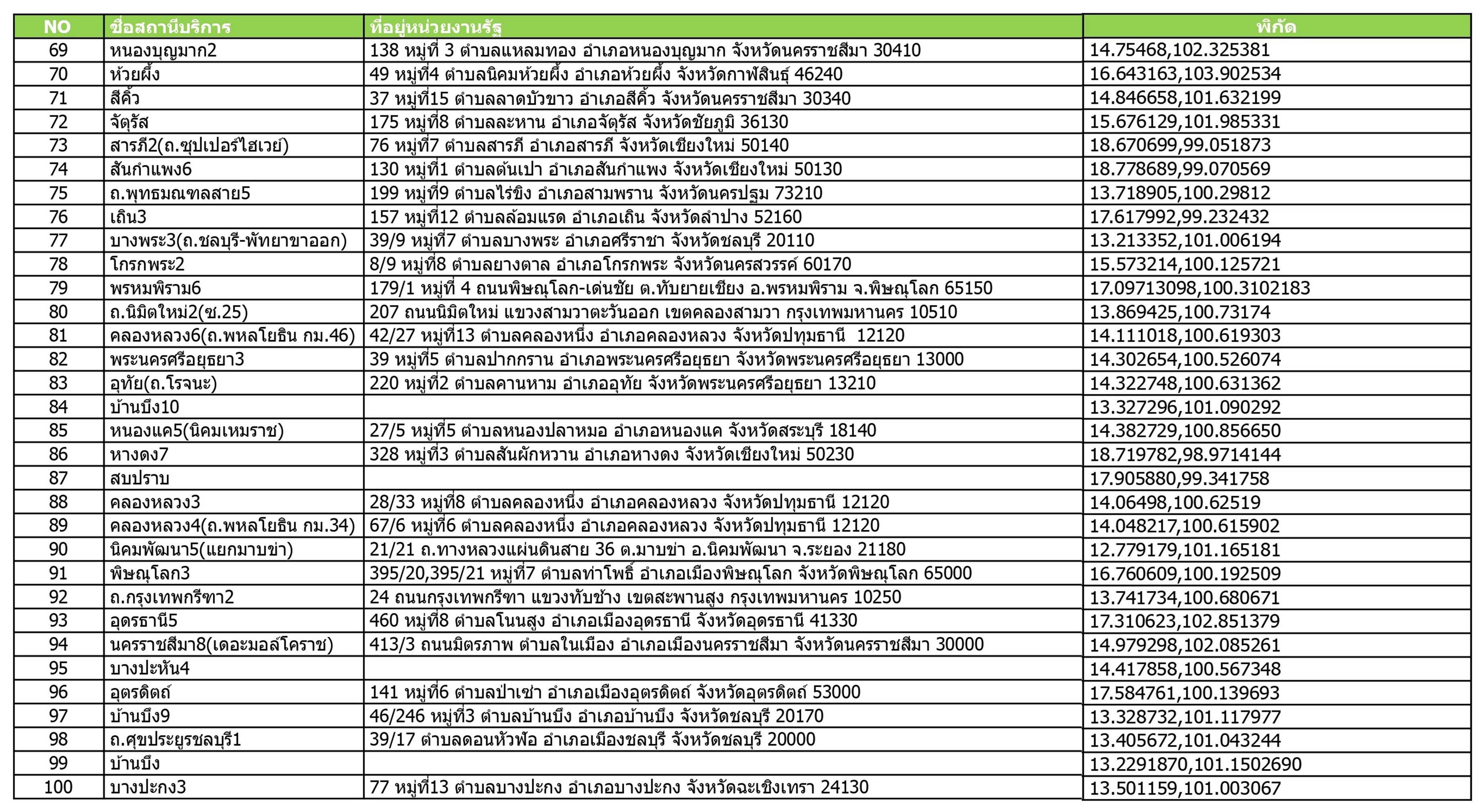
บริษัท พีทีจี เอ็นเนอยี จำกัด (มหาชน) หรือ PTG จับมือกับ การไฟฟ้าฝ่ายผลิตแห่งประเทศไทย (กฟผ.) เปิดตัวสถานีอัดประจุไฟฟ้า EleX by EGAT PT สถานีแรก ณ สถานีบริการน้ำมัน พีที สาขาปากช่อง 3 จังหวัดนครราชสีมา เมื่อ 16 มีนาคม 2564 ผ่านมา 3 ปีกว่า ขยายสถานีชาร์จ EleX By EGAT PT ตัวครบ 100 สาขาแล้ว รวมแล้วเฉียด 50% ของสถานีชาร์จ EleX by EGAT ทั้งหมดที่ EGAT เปิดร่วมกับพันธมิตร 12 บริษัท ใน 64 จังหวัด จำนวน 219 สถานี


สถานีอัดประจุไฟฟ้า EleX by EGAT PT ติดตั้งเครื่องชาร์จไฟแบบ DC Fast Charge ขนาด 60 kW , 120 kW และเครื่องชาร์จแบบ AC Normal Charge ขนาด 22 kW ที่สามารถชาร์จและรองรับรถยนต์ EV ได้ทุกค่าย
เช็กสาขาได้ที่แอปฯ Max Me https://bit.ly/ElexByEGAT
ดูพิกัดสาขาให้บริการ ได้ที่ https://bit.ly/EleXByEGAT_Station
ดาวน์โหลดแอป Max Me https://bit.ly/B_MaxMeOnline




ที่มา : PTG , EleX by EGAT